El régimen conservador de Rafael Carrera.pdf

Vista previa de texto
Documento de apoyo para Ensayo 1
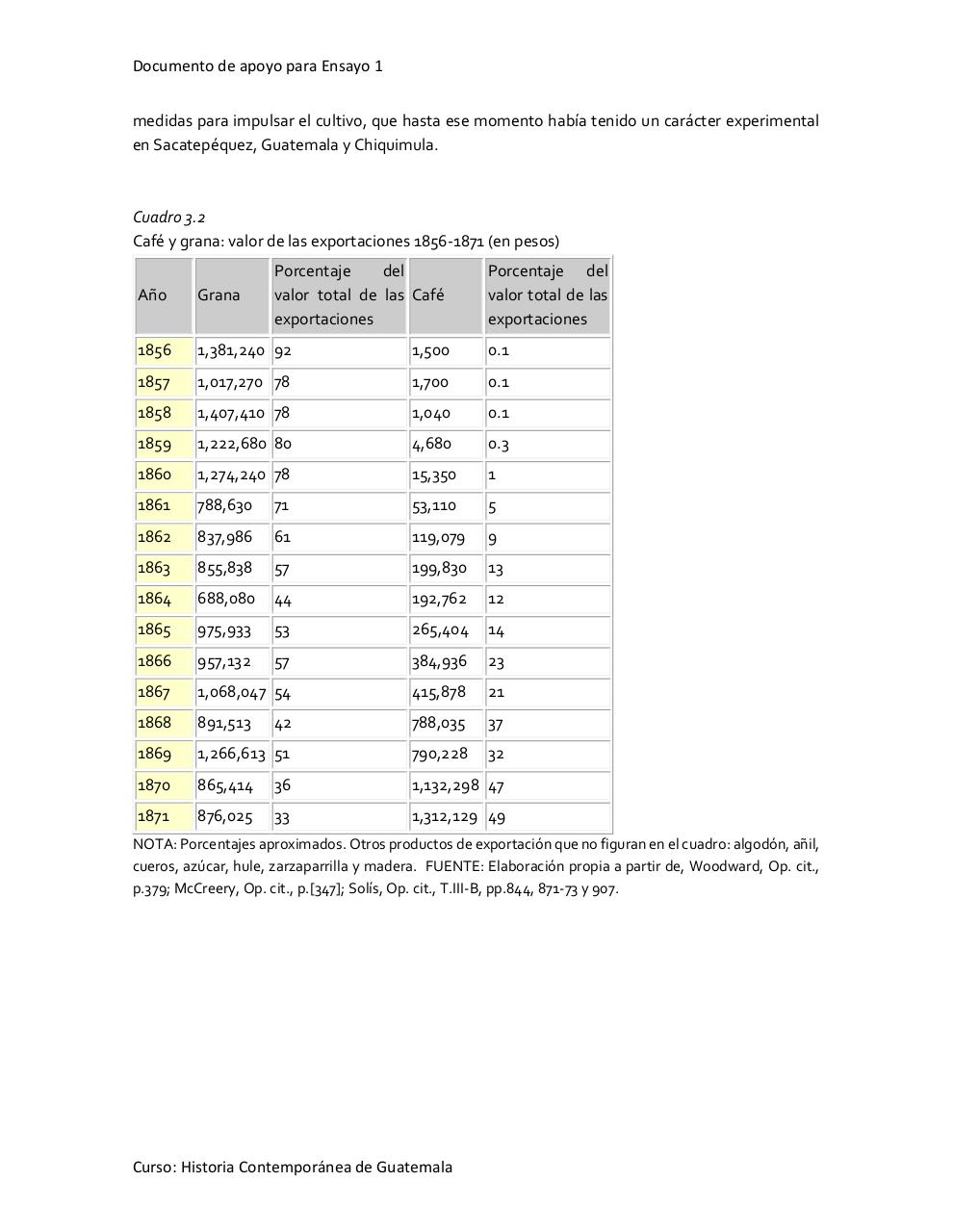
medidas para impulsar el cultivo, que hasta ese momento había tenido un carácter experimental
en Sacatepéquez, Guatemala y Chiquimula.
Cuadro 3.2
Café y grana: valor de las exportaciones 1856-1871 (en pesos)
Porcentaje
del
valor total de las Café
exportaciones
Porcentaje del
valor total de las
exportaciones
Año
Grana
1856
1,381,240 92
1,500
0.1
1857
1,017,270 78
1,700
0.1
1858
1,407,410 78
1,040
0.1
1859
1,222,680 80
4,680
0.3
1860
1,274,240 78
15,350
1
1861
788,630
71
53,110
5
1862
837,986
61
119,079
9
1863
855,838
57
199,830
13
1864
688,080
44
192,762
12
1865
975,933
53
265,404
14
1866
957,132
57
384,936
23
1867
1,068,047 54
415,878
21
1868
891,513
42
788,035
37
1869
1,266,613 51
790,228
32
1870
865,414
36
1,132,298 47
1871
876,025
33
1,312,129 49
NOTA: Porcentajes aproximados. Otros productos de exportación que no figuran en el cuadro: algodón, añil,
cueros, azúcar, hule, zarzaparrilla y madera. FUENTE: Elaboración propia a partir de, Woodward, Op. cit.,
p.379; McCreery, Op. cit., p.[347]; Solís, Op. cit., T.III-B, pp.844, 871-73 y 907.
Curso: Historia Contemporánea de Guatemala
