Serie5Nro46 2002.pdf

Vista previa de texto
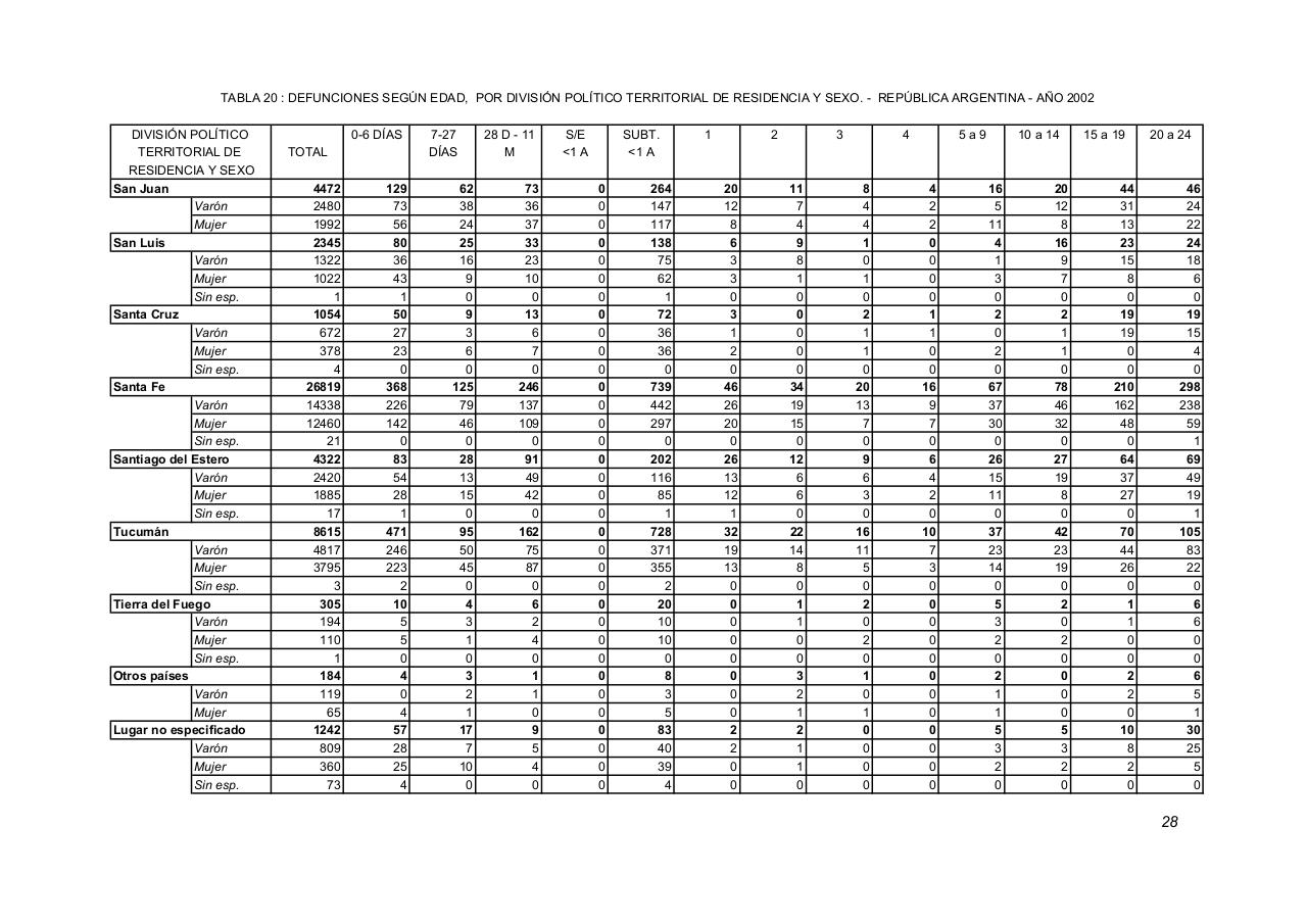
TABLA 20 : DEFUNCIONES SEGÚN EDAD, POR DIVISIÓN POLÍTICO TERRITORIAL DE RESIDENCIA Y SEXO. - REPÚBLICA ARGENTINA - AÑO 2002
DIVISIÓN POLÍTICO
TERRITORIAL DE
RESIDENCIA Y SEXO
San Juan
Varón
Mujer
San Luis
Varón
Mujer
Sin esp.
Santa Cruz
Varón
Mujer
Sin esp.
Santa Fe
Varón
Mujer
Sin esp.
Santiago del Estero
Varón
Mujer
Sin esp.
Tucumán
Varón
Mujer
Sin esp.
Tierra del Fuego
Varón
Mujer
Sin esp.
Otros países
Varón
Mujer
Lugar no especificado
Varón
Mujer
Sin esp.
0-6 DÍAS
TOTAL
4472
2480
1992
2345
1322
1022
1
1054
672
378
4
26819
14338
12460
21
4322
2420
1885
17
8615
4817
3795
3
305
194
110
1
184
119
65
1242
809
360
73
129
73
56
80
36
43
1
50
27
23
0
368
226
142
0
83
54
28
1
471
246
223
2
10
5
5
0
4
0
4
57
28
25
4
7-27
DÍAS
62
38
24
25
16
9
0
9
3
6
0
125
79
46
0
28
13
15
0
95
50
45
0
4
3
1
0
3
2
1
17
7
10
0
28 D - 11
M
73
36
37
33
23
10
0
13
6
7
0
246
137
109
0
91
49
42
0
162
75
87
0
6
2
4
0
1
1
0
9
5
4
0
S/E
<1 A
SUBT.
<1 A
0
0
0
0
0
0
0
0
0
0
0
0
0
0
0
0
0
0
0
0
0
0
0
0
0
0
0
0
0
0
0
0
0
0
264
147
117
138
75
62
1
72
36
36
0
739
442
297
0
202
116
85
1
728
371
355
2
20
10
10
0
8
3
5
83
40
39
4
1
2
20
12
8
6
3
3
0
3
1
2
0
46
26
20
0
26
13
12
1
32
19
13
0
0
0
0
0
0
0
0
2
2
0
0
3
11
7
4
9
8
1
0
0
0
0
0
34
19
15
0
12
6
6
0
22
14
8
0
1
1
0
0
3
2
1
2
1
1
0
4
8
4
4
1
0
1
0
2
1
1
0
20
13
7
0
9
6
3
0
16
11
5
0
2
0
2
0
1
0
1
0
0
0
0
5a9
4
2
2
0
0
0
0
1
1
0
0
16
9
7
0
6
4
2
0
10
7
3
0
0
0
0
0
0
0
0
0
0
0
0
10 a 14
16
5
11
4
1
3
0
2
0
2
0
67
37
30
0
26
15
11
0
37
23
14
0
5
3
2
0
2
1
1
5
3
2
0
20
12
8
16
9
7
0
2
1
1
0
78
46
32
0
27
19
8
0
42
23
19
0
2
0
2
0
0
0
0
5
3
2
0
15 a 19
20 a 24
44
31
13
23
15
8
0
19
19
0
0
210
162
48
0
64
37
27
0
70
44
26
0
1
1
0
0
2
2
0
10
8
2
0
46
24
22
24
18
6
0
19
15
4
0
298
238
59
1
69
49
19
1
105
83
22
0
6
6
0
0
6
5
1
30
25
5
0
28
