direccionamiento ip y subredes ejercicios resueltos 1194346207489436 2.pdf

Vista previa de texto
# de Bits
Cogidos
2
3
4
5
6
7
8
9
10
11
12
13
14
15
16
17
18
19
20
21
2
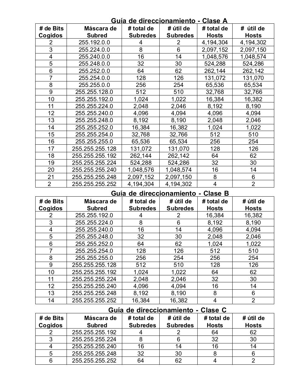
Guía de direccionamiento - Clase A
Máscara de
Subred
255.192.0.0
255.224.0.0
255.240.0.0
255.248.0.0
255.252.0.0
255.254.0.0
255.255.0.0
255.255.128.0
255.255.192.0
255.255.224.0
255.255.240.0
255.255.248.0
255.255.252.0
255.255.254.0
255.255.255.0
255.255.255.128
255.255.255.192
255.255.255.224
255.255.255.240
255.255.255.248
255.255.255.252
# total de
Subredes
4
8
16
32
64
128
256
512
1,024
2,048
4,096
8,192
16,384
32,768
65,536
131,072
262,144
524,288
1,048,576
2,097,152
4,194,304
# útil de
Subredes
2
6
14
30
62
126
254
510
1,022
2,046
4,094
8,190
16,382
32,766
65,534
131,070
262,142
524,286
1,048,574
2,097,150
4,194,302
# total de
Hosts
4,194,304
2,097,152
1,048,576
524,288
262,144
131,072
65,536
32,768
16,384
8,192
4,096
2,048
1,024
512
256
128
64
32
16
8
4
Guía de direccionamiento - Clase B
# de Bits
Cogidos
2
3
4
5
6
7
8
9
10
11
12
13
14
Máscara de
Subred
255.255.192.0
255.255.224.0
255.255.240.0
255.255.248.0
255.255.252.0
255.255.254.0
255.255.255.0
255.255.255.128
255.255.255.192
255.255.255.224
255.255.255.240
255.255.255.248
255.255.255.252
# de Bits
Cogidos
2
3
4
5
6
Máscara de
Subred
255.255.255.192
255.255.255.224
255.255.255.240
255.255.255.248
255.255.255.252
# total de
Subredes
4
8
16
32
64
128
256
512
1,024
2,048
4,096
8,192
16,384
# útil de
Subredes
2
6
14
30
62
126
254
510
1,022
2,046
4,094
8,190
16,382
# total de
Hosts
16,384
8,192
4,096
2,048
1,024
512
256
128
64
32
16
8
4
Guía de direccionamiento - Clase C
# total de
Subredes
4
8
16
32
64
# útil de
Subredes
2
6
14
30
62
# total de
Hosts
64
32
16
8
4
# útil de
Hosts
4,194,302
2,097,150
1,048,574
524,286
262,142
131,070
65,534
32,766
16,382
8,190
4,094
2,046
1,022
510
254
126
62
30
14
6
2
# útil de
Hosts
16,382
8,190
4,094
2,046
1,022
510
254
126
62
30
14
6
2
# útil de
Hosts
62
30
14
6
2
