Serie5Nro58 2014.pdf

Vista previa de texto
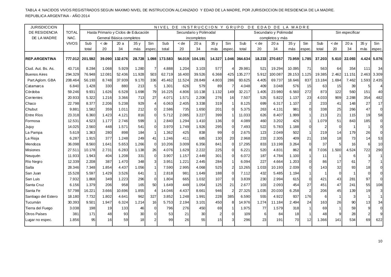
TABLA 4: NACIDOS VIVOS REGISTRADOS SEGUN MAXIMO NIVEL DE INSTRUCCION ALCANZADO Y EDAD DE LA MADRE, POR JURISDICCION DE RESIDENCIA DE LA MADRE.
REPUBLICA ARGENTINA - AÑO 2014
JURISDICCION
DE RESIDENCIA
DE LA MADRE
REP.ARGENTINA
Ciud. Aut. Bs. As.
TOTAL
NAC.
VIVOS
NIVEL DE INSTRUCCION Y GRUPO DE EDAD DE LA MADRE
Hasta Primario y Ciclos de Educación
Secundario y Polimodal
Secundario y Polimodal
General Básica completos
incompletos
completos y más
Sub
< de
20 a
35 y
Sin
Sub
< de
20 a
35 y
Sin
Sub
< de
20 a
35 y
Sin
total
20
34
más espec. total
20
34
más espec. total
20
34
más espec.
777.012 201.592
39.090 132.676
28.728 1.098 173.583
54.019 104.191
14.327 1.046 364.634
10.095
37.203
5.610 22.093
64
35 y
más
354
Sin
espec.
4.424 5.076
8.284
1.068
5.929
1.280
7
4.888
1.204
3.103
577
71
563
12.081
52.436
11.928
503
62.719
16.400
39.526
6.368
425 135.277
5.912 100.087
28.153 1.125
19.385
2.462 11.151
2.463 3.309
208.464
56.193
8.748
37.939
9.170
336
45.462
11.524
28.849
4.803
286
93.625
4.405
69.737
18.646
837
13.184
1.694
7.462
1.593 2.435
6.840
1.428
330
880
213
5
1.301
626
579
89
7
4.048
409
3.048
576
15
63
15
39
5
Córdoba
59.246
9.931
1.626
6.528
1.698
79
16.225
4.806
10.138
1.132
149
32.217
1.405
23.980
6.560
272
873
122
560
151
40
Corrientes
20.933
5.322
1.216
3.366
713
27
4.071
1.571
2.208
276
16
7.507
525
5.822
1.137
23
4.033
909
2.288
354
482
Chaco
22.798
8.377
2.206
5.238
929
4
6.063
2.405
3.338
319
1
8.125
699
6.317
1.107
2
233
41
148
27
17
Chubut
9.881
1.582
359
1.011
212
0
2.586
735
1.650
201
0
5.375
263
4.131
981
0
338
25
266
47
0
23.318
6.360
1.423
4.121
816
0
5.712
2.085
3.227
399
1
11.033
626
8.407
1.999
1
213
21
115
19
58
0
Entre Ríos
19.294
20 a
34
76.948
Part.Aglom. GBA
521
< de
20
43.716
Catamarca
29.981
73.959 1.785
Sub
total
294.329
Buenos Aires
4
18.233 270.657
Sin especificar
111
34
4
Formosa
12.531
4.523
1.177
2.746
599
1
2.840
1.294
1.410
136
0
4.089
460
3.202
426
1
1.079
51
843
185
Jujuy
14.025
2.560
448
1.571
541
0
3.970
1.749
1.926
295
0
7.493
522
5.783
1.188
0
2
0
1
1
0
La Pampa
5.619
1.363
280
898
184
1
1.362
425
838
99
0
2.675
123
2.049
502
1
219
14
179
26
0
La Rioja
6.287
1.915
377
1.248
249
41
1.246
411
685
130
20
2.968
233
2.305
409
21
158
18
73
14
53
Mendoza
36.098
8.560
1.641
5.653
1.266
0
10.206
3.009
6.356
841
0
17.295
833
13.198
3.264
0
37
5
16
6
10
Misiones
27.511
10.178
2.731
6.283
1.138
26
4.076
1.629
2.222
225
0
6.221
520
4.831
862
8
7.036
1.500
4.524
722
290
Neuquén
11.933
1.943
404
1.208
331
0
3.907
1.157
2.449
301
0
6.072
187
4.784
1.100
1
11
1
6
3
1
Río Negro
12.339
2.208
387
1.470
348
3
3.951
1.221
2.445
284
1
6.094
227
4.664
1.203
0
86
17
61
7
1
0
Salta
28.346
7.348
1.854
4.437
1.056
1
7.590
2.995
4.068
525
2
13.265
1.033
10.193
2.039
0
143
32
93
18
San Juan
15.528
5.597
1.429
3.526
641
1
2.818
981
1.649
188
0
7.112
432
5.485
1.194
1
1
0
1
0
0
San Luis
7.932
1.868
349
1.223
296
0
1.804
665
1.032
107
0
3.839
230
2.994
615
0
421
43
281
97
0
Santa Cruz
6.156
1.379
206
958
165
50
1.649
449
1.054
125
21
2.677
103
2.093
454
27
451
47
241
55
108
Santa Fe
57.798
16.221
3.666
10.696
1.855
4
14.046
4.437
8.661
946
2
27.325
1.035
20.030
6.258
2
206
45
139
19
3
Santiago del Estero
18.180
7.732
1.802
4.641
962
327
3.852
1.248
1.991
228
385
6.590
555
4.922
937
176
6
1
3
1
1
Tucumán
30.393
9.501
1.947
6.324
1.214
16
5.753
2.194
3.101
450
8
14.976
1.274
11.184
2.494
24
163
26
90
13
34
3.038
198
19
133
46
0
796
276
450
69
1
1.975
77
1.579
318
1
69
1
59
9
0
381
171
48
93
30
0
53
21
30
2
0
109
6
84
18
1
48
9
28
2
9
1.856
95
16
59
18
2
99
26
55
15
3
296
23
191
70
12
1.366
141
534
69
622
Tierra del Fuego
Otros Países
Lugar no espec.
10
