Serie5Nro57 2013.pdf

Vista previa de texto
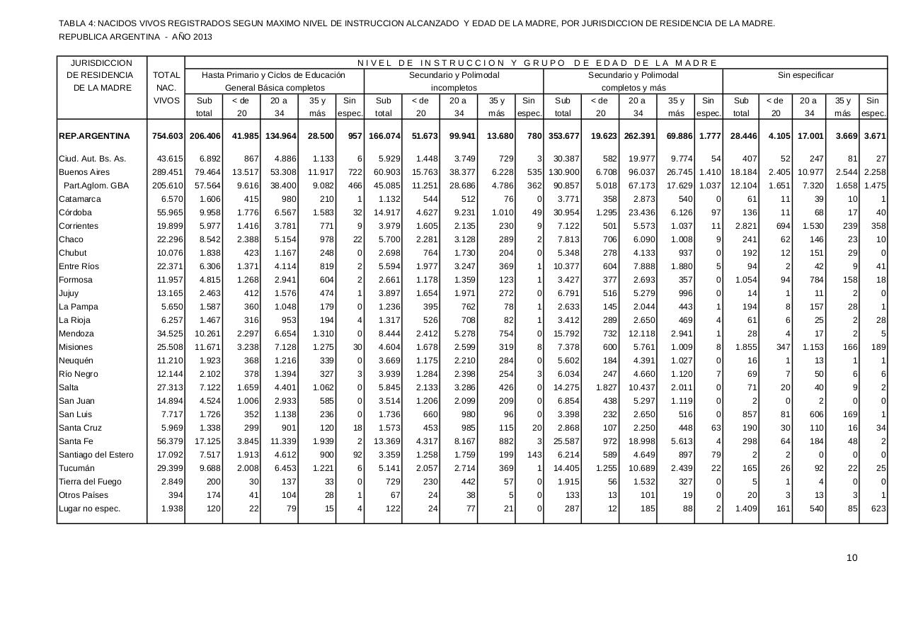
TABLA 4: NACIDOS VIVOS REGISTRADOS SEGUN MAXIMO NIVEL DE INSTRUCCION ALCANZADO Y EDAD DE LA MADRE, POR JURISDICCION DE RESIDENCIA DE LA MADRE.
REPUBLICA ARGENTINA - AÑO 2013
JURISDICCION
DE RESIDENCIA
DE LA MADRE
REP.ARGENTINA
Ciud. Aut. Bs. As.
TOTAL
NAC.
VIVOS
NIVEL DE INSTRUCCION Y GRUPO DE EDAD DE LA MADRE
Hasta Primario y Ciclos de Educación
Secundario y Polimodal
Secundario y Polimodal
General Básica completos
incompletos
completos y más
Sub
< de
20 a
35 y
Sin
Sub
< de
20 a
35 y
Sin
Sub
< de
20 a
35 y
Sin
total
20
34
más espec. total
20
34
más espec. total
20
34
más espec.
754.603 206.406
41.985 134.964
28.500
957 166.074
51.673
99.941
13.680
780 353.677
69.886 1.777
< de
20
20 a
34
28.446
4.105 17.001
247
Sin
espec.
3.669 3.671
6.892
867
4.886
1.133
6
5.929
1.448
3.749
729
30.387
582
19.977
54
407
79.464
13.517
53.308
11.917
722
60.903
15.763
38.377
6.228
535 130.900
6.708
96.037
26.745 1.410
18.184
2.405 10.977
2.544 2.258
205.610
57.564
9.616
38.400
9.082
466
45.085
11.251
28.686
4.786
362
90.857
5.018
67.173
17.629 1.037
12.104
1.651
7.320
1.658 1.475
6.570
1.606
415
980
210
1
1.132
544
512
76
0
3.771
358
2.873
540
0
61
11
39
Córdoba
55.965
9.958
1.776
6.567
1.583
32
14.917
4.627
9.231
1.010
49
30.954
1.295
23.436
6.126
97
136
11
68
17
40
Corrientes
19.899
5.977
1.416
3.781
771
9
3.979
1.605
2.135
230
9
7.122
501
5.573
1.037
11
2.821
694
1.530
239
358
Chaco
22.296
8.542
2.388
5.154
978
22
5.700
2.281
3.128
289
2
7.813
706
6.090
1.008
9
241
62
146
23
10
Chubut
10.076
1.838
423
1.167
248
0
2.698
764
1.730
204
0
5.348
278
4.133
937
0
192
12
151
29
0
Entre Ríos
22.371
6.306
1.371
4.114
819
2
5.594
1.977
3.247
369
1
10.377
604
7.888
1.880
5
94
2
42
9
41
18
Part.Aglom. GBA
52
35 y
más
43.615
Catamarca
9.774
Sub
total
289.451
Buenos Aires
3
19.623 262.391
Sin especificar
81
10
27
1
Formosa
11.957
4.815
1.268
2.941
604
2
2.661
1.178
1.359
123
1
3.427
377
2.693
357
0
1.054
94
784
158
Jujuy
13.165
2.463
412
1.576
474
1
3.897
1.654
1.971
272
0
6.791
516
5.279
996
0
14
1
11
2
0
La Pampa
5.650
1.587
360
1.048
179
0
1.236
395
762
78
1
2.633
145
2.044
443
1
194
8
157
28
1
La Rioja
6.257
1.467
316
953
194
4
1.317
526
708
82
1
3.412
289
2.650
469
4
61
6
25
2
28
Mendoza
34.525
10.261
2.297
6.654
1.310
0
8.444
2.412
5.278
754
0
15.792
732
12.118
2.941
1
28
4
17
2
5
Misiones
25.508
11.671
3.238
7.128
1.275
30
4.604
1.678
2.599
319
8
7.378
600
5.761
1.009
8
1.855
347
1.153
166
189
Neuquén
11.210
1.923
368
1.216
339
0
3.669
1.175
2.210
284
0
5.602
184
4.391
1.027
0
16
1
13
1
1
Río Negro
12.144
2.102
378
1.394
327
3
3.939
1.284
2.398
254
3
6.034
247
4.660
1.120
7
69
7
50
6
6
Salta
27.313
7.122
1.659
4.401
1.062
0
5.845
2.133
3.286
426
0
14.275
1.827
10.437
2.011
0
71
20
40
9
2
San Juan
14.894
4.524
1.006
2.933
585
0
3.514
1.206
2.099
209
0
6.854
438
5.297
1.119
0
2
0
2
0
0
San Luis
7.717
1.726
352
1.138
236
0
1.736
660
980
96
0
3.398
232
2.650
516
0
857
81
606
169
1
Santa Cruz
5.969
1.338
299
901
120
18
1.573
453
985
115
20
2.868
107
2.250
448
63
190
30
110
16
34
Santa Fe
56.379
17.125
3.845
11.339
1.939
2
13.369
4.317
8.167
882
3
25.587
972
18.998
5.613
4
298
64
184
48
2
Santiago del Estero
17.092
7.517
1.913
4.612
900
92
3.359
1.258
1.759
199
143
6.214
589
4.649
897
79
2
2
0
0
0
Tucumán
29.399
9.688
2.008
6.453
1.221
6
5.141
2.057
2.714
369
1
14.405
1.255
10.689
2.439
22
165
26
92
22
25
2.849
200
30
137
33
0
729
230
442
57
0
1.915
56
1.532
327
0
5
1
4
0
0
394
174
41
104
28
1
67
24
38
5
0
133
13
101
19
0
20
3
13
3
1
1.938
120
22
79
15
4
122
24
77
21
0
287
12
185
88
2
1.409
161
540
85
623
Tierra del Fuego
Otros Países
Lugar no espec.
10
