Serie5Nro46 2002.pdf

Vista previa de texto
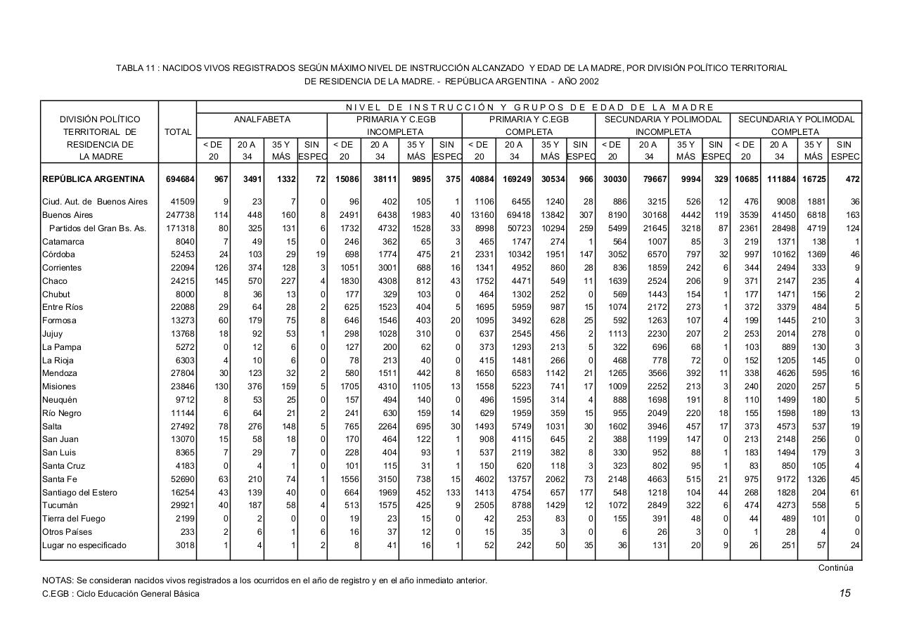
TABLA 11 : NACIDOS VIVOS REGISTRADOS SEGÚN MÁXIMO NIVEL DE INSTRUCCIÓN ALCANZADO Y EDAD DE LA MADRE, POR DIVISIÓN POLÍTICO TERRITORIAL
DE RESIDENCIA DE LA MADRE. - REPÚBLICA ARGENTINA - AÑO 2002
DIVISIÓN POLÍTICO
TERRITORIAL DE
RESIDENCIA DE
LA MADRE
REPÚBLICA ARGENTINA
Ciud. Aut. de Buenos Aires
Buenos Aires
Partidos del Gran Bs. As.
Catamarca
Córdoba
NIVEL DE INSTRUCCIÓN Y GRUPOS DE EDAD DE LA MADRE
PRIMARIA Y C.EGB
PRIMARIA Y C.EGB
SECUNDARIA Y POLIMODAL
SECUNDARIA Y POLIMODAL
INCOMPLETA
COMPLETA
INCOMPLETA
COMPLETA
35 Y
SIN
< DE
20 A
35 Y
SIN
< DE
20 A
35 Y
SIN
< DE
20 A
35 Y
SIN < DE
20 A
35 Y
SIN
34
MÁS ESPEC 20
34
MÁS ESPEC 20
34
MÁS ESPEC 20
34
MÁS ESPEC
MÁS ESPEC 20
ANALFABETA
TOTAL
< DE
20
694684
20 A
34
967
3491
1332
72
15086
38111
9895
375
40884 169249
30534
966
30030
79667
9994
329 10685 111884 16725
472
41509
9
23
7
0
96
402
105
1
1106
6455
1240
28
886
3215
526
12
476
9008
1881
36
247738
114
448
160
8
2491
6438
1983
40
13160
69418
13842
307
8190
30168
4442
119
3539
41450
6818
163
171318
80
325
131
6
1732
4732
1528
33
8998
50723
10294
259
5499
21645
3218
87
2361
28498
4719
124
8040
7
49
15
0
246
362
65
3
465
1747
274
1
564
1007
85
3
219
1371
138
1
52453
24
103
29
19
698
1774
475
21
2331
10342
1951
147
3052
6570
797
32
997
10162
1369
46
Corrientes
22094
126
374
128
3
1051
3001
688
16
1341
4952
860
28
836
1859
242
6
344
2494
333
9
Chaco
24215
145
570
227
4
1830
4308
812
43
1752
4471
549
11
1639
2524
206
9
371
2147
235
4
2
Chubut
8000
8
36
13
0
177
329
103
0
464
1302
252
0
569
1443
154
1
177
1471
156
Entre Ríos
22088
29
64
28
2
625
1523
404
5
1695
5959
987
15
1074
2172
273
1
372
3379
484
5
Formosa
13273
60
179
75
8
646
1546
403
20
1095
3492
628
25
592
1263
107
4
199
1445
210
3
Jujuy
13768
18
92
53
1
298
1028
310
0
637
2545
456
2
1113
2230
207
2
253
2014
278
0
La Pampa
5272
0
12
6
0
127
200
62
0
373
1293
213
5
322
696
68
1
103
889
130
3
La Rioja
6303
4
10
6
0
78
213
40
0
415
1481
266
0
468
778
72
0
152
1205
145
0
Mendoza
27804
30
123
32
2
580
1511
442
8
1650
6583
1142
21
1265
3566
392
11
338
4626
595
16
Misiones
23846
130
376
159
5
1705
4310
1105
13
1558
5223
741
17
1009
2252
213
3
240
2020
257
5
Neuquén
9712
8
53
25
0
157
494
140
0
496
1595
314
4
888
1698
191
8
110
1499
180
5
Río Negro
11144
6
64
21
2
241
630
159
14
629
1959
359
15
955
2049
220
18
155
1598
189
13
Salta
27492
78
276
148
5
765
2264
695
30
1493
5749
1031
30
1602
3946
457
17
373
4573
537
19
San Juan
13070
15
58
18
0
170
464
122
1
908
4115
645
2
388
1199
147
0
213
2148
256
0
San Luis
8365
7
29
7
0
228
404
93
1
537
2119
382
8
330
952
88
1
183
1494
179
3
Santa Cruz
4183
0
4
1
0
101
115
31
1
150
620
118
3
323
802
95
1
83
850
105
4
Santa Fe
52690
63
210
74
1
1556
3150
738
15
4602
13757
2062
73
2148
4663
515
21
975
9172
1326
45
Santiago del Estero
16254
43
139
40
0
664
1969
452
133
1413
4754
657
177
548
1218
104
44
268
1828
204
61
Tucumán
29921
40
187
58
4
513
1575
425
9
2505
8788
1429
12
1072
2849
322
6
474
4273
558
5
0
Tierra del Fuego
Otros Países
Lugar no especificado
2199
0
2
0
0
19
23
15
0
42
253
83
0
155
391
48
0
44
489
101
233
2
6
1
6
16
37
12
0
15
35
3
0
6
26
3
0
1
28
4
0
3018
1
4
1
2
8
41
16
1
52
242
50
35
36
131
20
9
26
251
57
24
Continúa
NOTAS: Se consideran nacidos vivos registrados a los ocurridos en el año de registro y en el año inmediato anterior.
C.EGB : Ciclo Educación General Básica
15
