Listado Diputados.pdf

Vista previa de texto
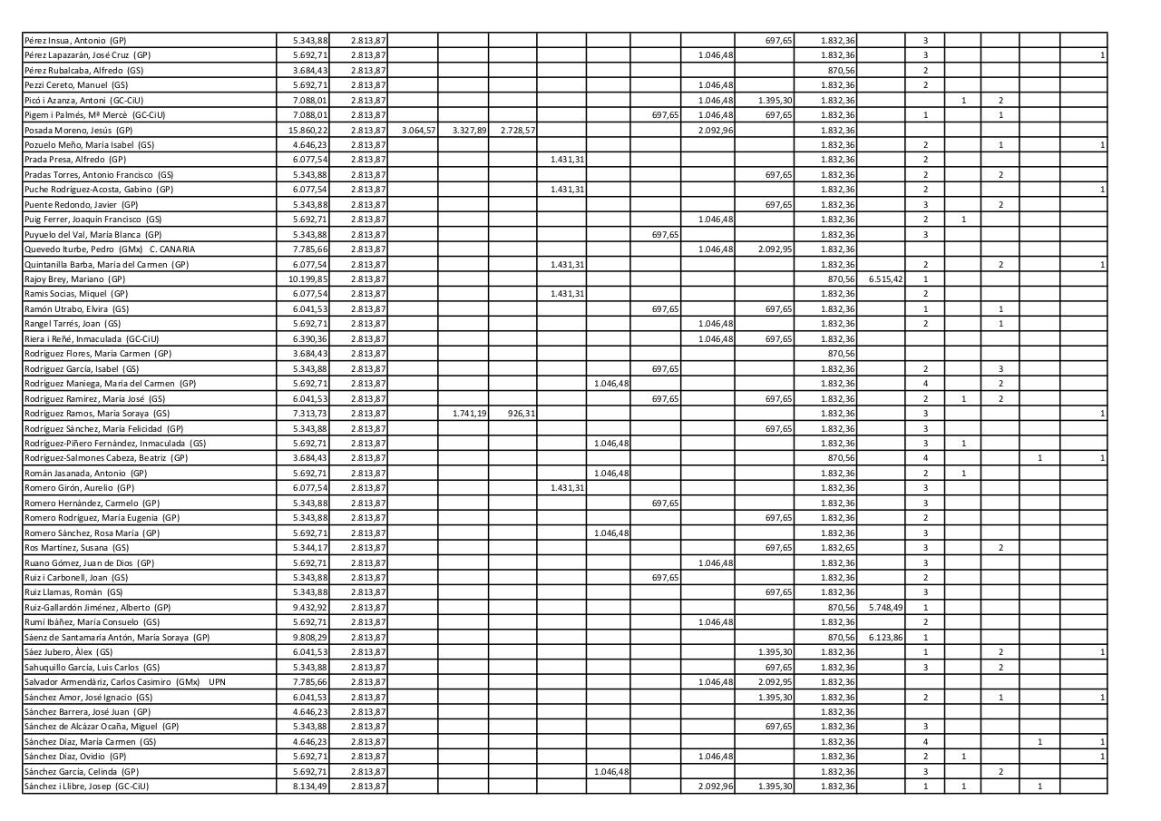
Pérez Insua, Antonio (GP)
5.343,88
2.813,87
Pérez Lapazarán, José Cruz (GP)
5.692,71
2.813,87
Pérez Rubalcaba, Alfredo (GS)
3.684,43
2.813,87
697,65
1.046,48
1.832,36
3
1.832,36
3
870,56
2
1.832,36
2
Pezzi Cereto, Manuel (GS)
5.692,71
2.813,87
1.046,48
Picó i Azanza, Antoni (GC-CiU)
7.088,01
2.813,87
1.046,48
1.395,30
1.832,36
Pigem i Palmés, Mª Mercè (GC-CiU)
7.088,01
2.813,87
1.046,48
697,65
1.832,36
15.860,22
2.813,87
Pozuelo Meño, María Isabel (GS)
4.646,23
2.813,87
Prada Presa, Alfredo (GP)
6.077,54
2.813,87
Pradas Torres, Antonio Francisco (GS)
5.343,88
2.813,87
Puche Rodríguez-Acosta, Gabino (GP)
6.077,54
2.813,87
Puente Redondo, Javier (GP)
5.343,88
2.813,87
Posada Moreno, Jesús (GP)
Puig Ferrer, Joaquín Francisco (GS)
5.692,71
2.813,87
Puyuelo del Val, María Blanca (GP)
5.343,88
2.813,87
Quevedo Iturbe, Pedro (GMx) C. CANARIA
7.785,66
2.813,87
Quintanilla Barba, María del Carmen (GP)
6.077,54
2.813,87
10.199,85
2.813,87
Rajoy Brey, Mariano (GP)
697,65
3.064,57
3.327,89
2.728,57
2.092,96
697,65
1.431,31
697,65
1.046,48
697,65
6.077,54
2.813,87
2.813,87
Rangel Tarrés, Joan (GS)
5.692,71
2.813,87
1.046,48
Riera i Reñé, Inmaculada (GC-CiU)
6.390,36
2.813,87
1.046,48
Rodríguez Flores, María Carmen (GP)
3.684,43
2.813,87
Rodríguez García, Isabel (GS)
5.343,88
2.813,87
Rodríguez Maniega, María del Carmen (GP)
5.692,71
2.813,87
6.041,53
2.813,87
7.313,73
2.813,87
Rodríguez Sánchez, María Felicidad (GP)
5.343,88
2.813,87
Rodríguez-Piñero Fernández, Inmaculada (GS)
5.692,71
2.813,87
Rodríguez-Salmones Cabeza, Beatriz (GP)
3.684,43
2.813,87
Román Jasanada, Antonio (GP)
5.692,71
2.813,87
Romero Girón, Aurelio (GP)
6.077,54
2.813,87
Romero Hernández, Carmelo (GP)
5.343,88
2.813,87
Romero Rodríguez, María Eugenia (GP)
5.343,88
2.813,87
Romero Sánchez, Rosa María (GP)
5.692,71
2.813,87
Ros Martínez, Susana (GS)
5.344,17
2.813,87
Ruano Gómez, Juan de Dios (GP)
5.692,71
2.813,87
Ruiz i Carbonell, Joan (GS)
5.343,88
2.813,87
Ruiz Llamas, Román (GS)
5.343,88
2.813,87
1.832,36
2
1
1.832,36
2
1.832,36
2
1.832,36
2
1.832,36
3
1.832,36
2
1.832,36
3
1.431,31
697,65
697,65
2
1
2
1
2
6.515,42
1.832,36
697,65
2
2
1.832,36
1
1
1.832,36
2
1
1.832,36
870,56
697,65
1.046,48
697,65
1.741,19
697,65
926,31
697,65
1.046,48
1.046,48
1.431,31
697,65
697,65
1.046,48
697,65
1.046,48
697,65
697,65
1.832,36
2
3
1.832,36
4
2
1.832,36
2
1.832,36
3
1.832,36
3
1.832,36
3
870,56
4
1.832,36
2
1.832,36
3
1.832,36
3
1.832,36
2
1.832,36
3
1.832,65
3
1.832,36
3
1.832,36
2
1.832,36
3
1
1
1
2
2.813,87
2.813,87
Sáenz de Santamaría Antón, María Soraya (GP)
9.808,29
2.813,87
Sáez Jubero, Àlex (GS)
6.041,53
2.813,87
1.395,30
1.832,36
1
2
Sahuquillo García, Luis Carlos (GS)
5.343,88
2.813,87
697,65
1.832,36
3
2
Salvador Armendáriz, Carlos Casimiro (GMx) UPN
7.785,66
2.813,87
Sánchez Amor, José Ignacio (GS)
6.041,53
2.813,87
2
1
Sánchez Barrera, José Juan (GP)
4.646,23
2.813,87
5.343,88
2.813,87
2.813,87
Sánchez Díaz, Ovidio (GP)
5.692,71
2.813,87
Sánchez García, Celinda (GP)
5.692,71
2.813,87
Sánchez i Llibre, Josep (GC-CiU)
8.134,49
2.813,87
1.832,36
870,56
1.046,48
2.092,95
1.832,36
1.395,30
1.832,36
1
1
9.432,92
1.046,48
5.748,49
2
5.692,71
4.646,23
870,56
1
Rumí Ibáñez, María Consuelo (GS)
Sánchez Díaz, María Carmen (GS)
1
1
Ruiz-Gallardón Jiménez, Alberto (GP)
Sánchez de Alcázar Ocaña, Miguel (GP)
1
1.832,36
870,56
6.041,53
2
1
1.832,36
Ramis Socias, Miquel (GP)
Rodríguez Ramos, María Soraya (GS)
2.092,95
1.431,31
Ramón Utrabo, Elvira (GS)
Rodríguez Ramírez, María José (GS)
1
1
1.832,36
1.431,31
1.046,48
1
1
2
6.123,86
1
1
1
1.832,36
697,65
1.046,48
1.046,48
2.092,96
1.395,30
1.832,36
3
1.832,36
4
1.832,36
2
1.832,36
3
1.832,36
1
1
1
1
2
1
1
1
